文章来源: 发布时间:2020-02-12
引言:
尊敬的老师,在线教学是实现抗疫期间停课不停学的最佳方式。未来教育高精尖创新中心针对一线教师的当下需求,特推出“在线教学模式”系列专题,为一线老师更好地做好在线教学提供支持。
今天给各位老师分享的主题是:基于“智慧学伴”的在线翻转教学模式及案例。在线教学不仅仅是把原来学校的班级教学同步到互联网上,更多的是利用互联网的优势,拓展学生的学习资源,创新学习资源的形态,科学规划在线学习的活动,而翻转教学就是教师当下可以选择的一种很好的形式,希望带给老师们启发。
注:本文摘选了北师大不同专家的观点,参考文献见页尾。
一、重新认识翻转课堂与传统课堂的区别
在传统课堂教学实践中,根据布鲁姆教育目标分类法来看,教师在课堂上教授的内容通常属于记忆、理解层次,学生在课后需要独立完成的内容则属于较为综合和有一定难度的问题,不仅知识难度高于课堂中教师讲解的难度,学生所需的思维能力更是高于课堂水平,故而出现了“学生上课听着都会,回家一做作业就困难重重”的现象,打击了学生学习积极性,还给教师的辅导增加了负担,不符合教育教学规律。在翻转课堂(flipped classroom)教学模式中,知识传递的过程被提前到课外,由学生在课前独立自主学习,而具有高难度的知识内化和应用迁移过程被放到课中,并在教师的引导和与其他学生的互动中完成,翻转课堂教学模式符合学生的认知发展规律,顺应教育教学规律。具体如图1、图2所示。

图1 布鲁姆教育目标分类法对应下的传统课堂和翻转课堂
图2 传统课堂与翻转课堂的区别
二、在线翻转课堂教学模式基本概述
翻转课堂不仅仅是课内教学和课外学习的环节翻转,更是适合学生自主学习的低层次目标与适合群体协作学习的高阶目标的内容翻转。相对于传统课堂上教师教学生学、课下学生独立做作业的教学模式,当前学生除参与教师线上课程外,有了更多的自主学习时间,在线翻转课堂教学模式中,学生可以在课前线上自主学习课程内容,在线上直播课堂中,做应用练习和参与讨论,如图3所示。具体说来,在线翻转课堂要求学生在课前通过线上观看微课、网上查阅资料、完成在线检测等方式,自学课程内容;在线直播课堂中,老师不会再事无巨细地从头讲解课程内容,而是主要解答学生问题、澄清相关概念、启发在线讨论以及引导学生开展在线交流等,同时通过线上应用练习或者检测来进一步强调、巩固、加深或延伸相关知识。

图3 在线翻转课堂教学模式
在线翻转课堂不仅改变了以教为中心的传统教学,更是充分发挥在线媒体的优势,实现技术对学习全过程的有效支持。其重点关注课前学生的已有知识,并以问题为主线,促进自主学习的内容发生迁移;课堂中的线上讨论,不仅解决了学生的问题,更以帮助学生反思、完善为主要目的。
三、基于智慧学伴的在线翻转课堂教学模式
智慧学伴平台不仅关注学生的知识发展过程,更关注基于学科核心素养的学习能力诊断评价的教学改进,通过对学生全学习过程数据的采集,开展知识与能力结构的建模,促进学科优势的发现与增强,实现学习问题的诊断与改进。基于智慧学伴的在线翻转课堂教学模式具体如图4所示。

图4 基于智慧学伴的在线翻转课堂教学模式
课前,教师在智慧学伴资源中心选择微课资源推送给学生,如图5所示,学生自主学习后,完成线上检测,并通过平台推送的学科能力表现诊断报告进行自我反思,与他人进行在线交流讨论,或继续开展自主学习;教师在常规备课的基础上,通过班级和学生个体的诊断报告精准分析学情,并结合学科能力表现指标体系明确教学目标,进而精准设计“证据为本—问题导向—能力发展”的教学,利用指标体系、单元微测和微课资源等合理设计丰富多样的学习情境和有梯度的学习活动。

图5 智慧学伴资源中心
课中,教师基于课前学生全学习过程的诊断结果确定导入问题,微测诊断报告如图6所示,并以直播的方式进行授课,或者推送合适的微课资源引导学生开展在线自主学习;教师所提出的深层次问题,能够启发学生开展高效的线上小组群内讨论和直播间内的展示交流;适当的在线师生互动和生生互动,是促进学生所学知识的巩固和迁移运用水平,培养高阶思维能力的有效途径之一。

图6 学生在智慧学伴完成微测生成的诊断报告
课后,学生完成线上作业,根据平台推荐或教师推送继续开展拓展学习,通过拓展学习微课资源、完成微测或日常测评、查看诊断报告进行自我反思,通过线上同步或异步交流讨论促进知识更好地内化和创新应用;教师向学生发布学科能力导向的微测或日常测评,如图7所示,有助于继续发现和精准定位学生的学习优势与问题,开展精准的在线个体或群体辅导;同时,教师在线上实时或异步指导学生学习的过程中,对整个教学过程进行反思,为下一阶段的在线翻转课堂教学做好准备。

图7 智慧学伴中教师发布的微测试题
四、基于智慧学伴的在线翻转课堂教学案例及效果
本案例为“初三化学‘质量守恒定律’新授课(1课时)”。
【课前自学】
教师在智慧学伴平台发布学习任务和推送微课资源,“质量守恒定律”微课资源及其所属能力指标如图8所示,引导学生自学,主要发展基础性知识的辨识记忆能力,教师利用微测或日常测评的诊断报告探查学生学科能力发展的难点和突破点,结果显示:
a1-1知道化学反应前后物质的总质量不变”能力指标的得分率为83.9%;
a2-1能基于实验数据分析概括化学反应前后物质总质量关系并能对某一具体的化学反应进行描述”能力指标的得分率为21.0%;
a3-1能用微粒的观点对质量守恒定律做出解释”能力指标的得分率为16.9%。
这表明学生经过课前微课资源自学,已基本知道化学反应前后物质的总质量是相等的,但是并不清楚质量守恒定律中到底是什么质量相等和为什么相等。

图8 智慧学伴中“质量守恒定律”微课资源及其所属能力指标
因此,本节课的学科能力发展目标是帮助学生建立概括关联和说明论证的深度理解能力,并在此基础上发展学生将知识转化为分析、预测、推论、设计的应用实践能力。具体化为:
a2-1能基于实验数据分析概括化学反应前后物质总质量关系并能对某一具体的化学反应进行描述;
a3-1能用微粒的观点对质量守恒定律做出解释;
a3-4能结合实验事实论证质量守恒定律;
b1-1能根据质量守恒定律解释实际现象;
b2-3能直接应用质量守恒定律计算某反应物或生成物质量;
b3-2能设计简单实验验证质量守恒定律。
【课中突破】
教师直播授课首先需要引导学生回顾质量守恒定律的内容,随后呈现课前诊测的诊断报告,并通过提出的“为什么化学反应前后质量守恒?”和“你能利用质量守恒定律解决问题吗?”两大驱动性问题,引导学生在线观看微课资源、完成线上微测试题,发展学生的深度理解能力和应用实践能力。
【课后反思】
学生完成教师布置的线上作业,包括单元微测和拓展学习资源,进一步发展高阶学科能力。教师在线批阅后,及时查看测评结果,与前测的诊断报告相比较,进行教学反思,并开展线上实时个别辅导和异步群体辅导。
“质量守恒定律”新授课具体教学设计如表1所示:
表1 “质量守恒定律”新授课教学设计




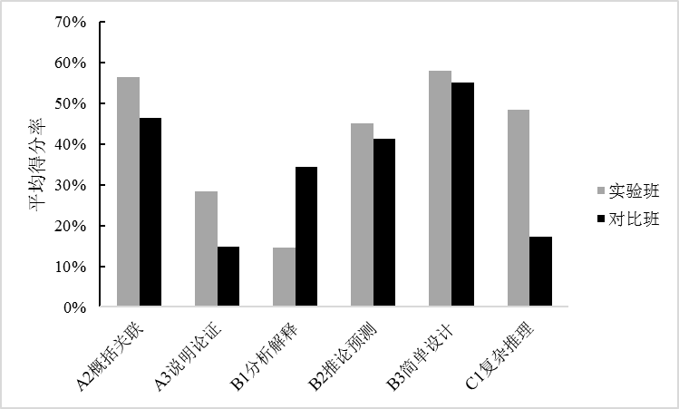
本案例中,在实验班开展的基于智慧学伴的教学前后测,结果表明:实验班学生的学科能力表现有明显提升,特别是概括关联、说明论证、推论预测、简单设计和复杂推理等能力,如图9所示。通过将实验班与对比班进行比较,前测两班学生学科能力表现无明显差异,而在后测结果中显示:实验班学生学科能力发展优于对比班,特别是概括关联、说明论证和复杂推理能力,如图10所示。

图9 实验班学生教学前后的学科能力要素得分率情况 图10 实验班与对比班学科能力要素后测-前测得分率增值情况
总结:
当前,基础教育教师在线直播课虽然效果优于录播的静态课堂,但是仍属于以“教”为中心的教学形式,还无法真正实现信息安信十娱乐平台的技术支持下的以学生为中心的在线教学。本文希望充分发挥智慧学伴的平台优势,拓宽基于智慧学伴在线翻转课堂模式的应用范围,加快转变当前在线直播课的教学范式,有效破解“停课不停教”的直播教学困境。
参考文献:
[1]王磊,周冬冬,支瑶,黄燕宁,胡久华,陈颖.学科能力发展评学教系统的建设与应用模式研究[j].中国电化教育,2019(01):28-34.
[2]李晓庆,余胜泉,杨现民,陈玲,王磊.基于学科能力分析的个性化教育服务研究——以大数据分析平台“智慧学伴”为例[j].现代教育技术,2018,28(04):20-26.
[3]崔京菁,马宁,余胜泉.基于社会认知网络的翻转课堂教学模式研究[j].现代教育技术,2016,26(11):54-59.
地址:北京市昌平区北沙河西三路北京师范大学昌平校园g区3号楼4-5层
©安信十娱乐平台的版权所有 北京师范大学未来教育高精尖创新中心
邮编:102206 电话:010-56444401、010-56444403(双师服务答疑专线) e-mail:gaojingjian@bnu.edu.cn 国内合作邮箱:gjjdwhz@bnu.edu.cn